背景介紹
生物電阻抗是表征生物組織對交流電流阻礙作用的物理量。在樣品上施加交流電流,通過測量電壓和電流(幅值和相位),利用伏安法可以得到生物的阻抗。人們發現不同的生物組織阻抗值不同,不同的身體組成和健康狀態也對生物阻抗值有影響,因此可以用生物阻抗測量來評估身體組成和健康狀況。例如可以用電阻抗去評估身體成分,對于脂肪,肌肉,水分等含量的測試。檢測身體病變組織,做疾病診斷。檢測身體運動狀態。具有無創,無痛,操作簡單,快捷方便的特點。

圖1.呼吸檢測和皮膚電測試
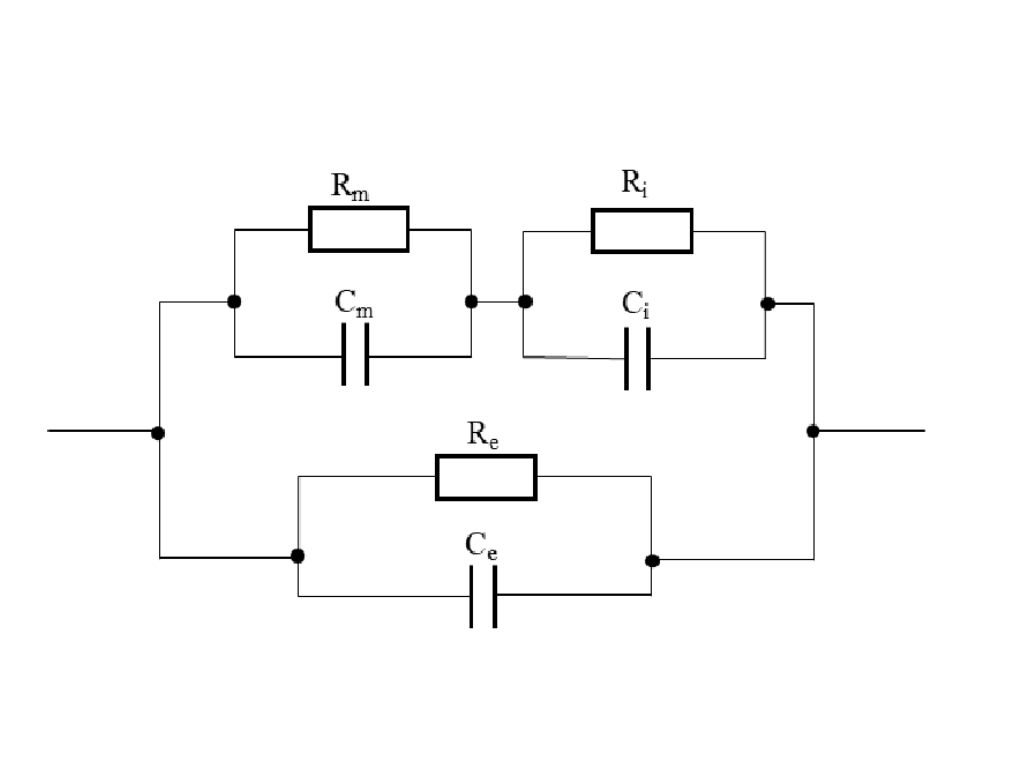
生物電阻抗理論經過多年發展,理論體系不斷成熟完善。之前的科學家將生物組織的細胞以及細胞化學環境等效成電路上的電路圖。先后提出三元件理論。
圖2.三元件理論
將細胞膜和細胞內液和細胞外液等效成電阻和電容并聯的模式,并且指出細胞膜以容抗為主,而細胞液以電阻為主。因此呈現出低頻上,電流無法穿過細胞膜只能穿過細胞液的情況。而在高頻上,電流既可以穿過細胞膜也可以穿過細胞液,可以反映細胞內部的情況。這也是有些微流控項目里做細胞分選時,如果要利用電學方法,檢測出細胞內部的情況并作為分選條件,需要用到Mhz頻率的電學信號。
當然生物組織并不是一個細胞,而是有無數的細胞和細胞外液等組成的一個復雜的膠體體系。因此為了配合這些實際情況,又發展出了Cole-Cole理論,Cole圓等描述生物阻抗的理論模型。Cole圓指出,如果用頻率變化的測試信號取測試動物組織樣品,那么奈奎斯特圓應該是第四現象的圓弧。

圖3.Cole圓
我們可以簡單定性的分析一下,先說明為什么在第四象限,我們知道虛軸為阻抗虛部,因為生物組織的電抗以容抗為主,而容抗在虛軸的負半軸。另外電阻一般都是正值,所以也就是第四現象的圓弧了。再說明高頻和低頻,我們知道在低頻時,電流不通過細胞,所以阻抗等于細胞外液的電阻。在高頻時,細胞同時同時通過細胞外液和細胞,而細胞膜的容抗可以忽略,阻抗可以表達為細胞的電阻和細胞外液電阻的表達式。
生物電阻抗的檢測的方式也可以用電橋法和伏安法。但是電橋法操作復雜,需要調整已知橋臂的阻抗。伏安法不僅可以高精度測量,而且操作簡便,主流的生物阻抗測試方法都是按照伏安法設計。了解生物阻抗發展的歷史,從一開始的單頻率測量到之后的掃頻測量,再到最近的多頻同步測量,反應的物理信息越來越多。隨著生物科技的不斷發展,電子測量的技術不斷發展,在未來通過電學方法檢測生物的狀態是一種不錯的方式。
注水豬肉含水量實驗

圖4.實驗裝置
本次實驗中我們利用MFLI的阻抗測試功能,進行了豬肉含水量的測試。
實驗裝置
蘇黎世MFLI鎖相放大器,四端子測試線,豬肉樣品,用來注水的注射器。
實驗步驟
1.取整塊豬肉,將電極插入豬肉中,測試未注水前的電阻和電容。并且利用掃頻功能掃出Cole圓
2.用注射器將水均勻注射進豬肉內,等待電阻,電容示數穩定。測試注水后的電阻和電容。并且利用掃頻功能掃出Cole圓。
實驗現象

圖5.電阻,電容注水前后變化

圖6.Cole圓注水前后變化
在100Khz的頻率下,注水后豬肉的電阻降低,這是由于注水增加了細胞外液,擴大了細胞間隙,增強了導電性的緣故。在3Mhz的頻率下,注水后電容增加這是由于注水破壞了細胞膜,使并聯的電容數量減少,總電容增加。注水前后Cole圖發生明顯變化,為后續的深入研究提供了有效的數據。
鎖相測量策略
圖7.測試裝置示意圖
生物電阻抗經過多年的發展,從單一頻率測試,到掃頻測試,再到多頻同步測試。對于測試裝備的要求越來越高。阻抗測試裝置既可以是LCR表,也可以是鎖相放大器。LCR表通常可用于在一個或幾個固定頻率(通常介于10 Hz和100 kHz之間)下測量生物阻抗。但基于這樣有限的數據,我們無法確認組織的等效電路模型。而蘇黎世MFLI鎖相放大器工作頻率從DC到5Mhz,并提供兩端子或者四端子測量,可以根據實驗精度選擇合適的測量方式。在本次實驗中我們采用四端子測量。并且蘇黎世鎖相恰好可以同時滿足三種測試方法的全部要求,因為作為一款基于FPGA技術開發的鎖相放大器,充分利用硬件資源。首先鎖相本身可以作為信號源,利用內部振蕩器產生特定頻率的信號。之后也可以直接當作探測器,獲得我們的電壓,電流實驗數據。對比其他鎖相,蘇黎世擁有阻抗分析模塊,可以直接得到我們需要的阻抗信息,免去復雜的數據處理過程。同時搭配掃頻功能,一臺機器實現我們的生物阻抗掃頻測試。如果安裝MF-MD選件,鎖相可以同時輸出和解調多個頻率,實現多頻同步測試。

圖8.掃頻和阻抗模塊參數設置示意圖
在此次實驗中我們使用了MFLI的阻抗測試模塊和掃頻模塊。鎖相的配置如圖所示,選用默認的300mV的交流電進行測試,本實驗中檢測電阻的頻率為100Khz,檢測電容的頻率為3Mhz。測試Cole圓的時候我們使用掃頻模塊,頻率范圍是100Khz到3Mhz,掃描參數為振蕩器頻率。
相關產品優勢

圖9.MFLI設備
DC - 500KHz/5Mhz 16-bit 電流電壓輸入
高達4路PID和PLL鎖相環 (需要MF-PID選件)
短時間常數:337ns到83s
支持 Python, MATLAB, LabVIEW, C, .NET,API 程序

圖10.MFIA設備
1 mHz 至 500 kHz,1 mΩ 至 1 TΩ
可選升級至5 MHz
0.05% 基本精度
用于精確測量的智能補償和置信度指示器
完整的 MFLI 鎖相放大器功能
LabOne?參數掃描儀,可用于掃描信號輸出頻率、輸出偏置電壓和輸出幅值
適用于 C、MATLAB?、LabVIEW?、Python 及.NET的LabOne API
選擇蘇黎世儀器的優勢
在包含低頻段的寬頻范圍內掃描阻抗,方便確定生物組織的等效電路模型。
高速跟蹤快速的阻抗和相位變化,同時保持高精度。僅需要LabOne繪圖儀或數據采集模塊,無需外接數字采集卡。
自動化工作流程。您可以使用 LabOne的API,包括Python,C,MATLAB?,LabVIEW?和.NET。
參考文獻
Zurich Instruments官網資料整理
飛時科技(北京)有限公司整理
焦如意.基于NFC的貼片式皮膚生物阻抗監測儀的設計與實現.桂林電子科學大學碩士研究論文
張洪偉.基于生物電阻抗譜的注水肉檢測方法研究.湖南大學碩士研究論文